工作时间:08:00-18:00
校区地址:东莞市东城区民盈国贸中心T1-9楼 /0769-22022068
Toggle navigation
首页
雅思课程
托福课程
考培课程
SAT课程
TOEFL junior课程
SSAT课程
A-level课程
AEAS课程
外教口语课程
UKI英语俱乐部
留学/游学
留学专题
留学资讯
游学专题
备考资讯
雅思备考
托福备考
alevel备考
英语学习
托福扫盲贴
考试经验
关于我们
英凯简介
校区展示
教学环境
联系我们
首页
雅思课程
托福课程
考培课程
SAT课程
TOEFL junior课程
SSAT课程
A-level课程
AEAS课程
外教口语课程
UKI英语俱乐部
留学/游学
留学专题
留学资讯
游学专题
备考资讯
雅思备考
托福备考
alevel备考
英语学习
托福扫盲贴
考试经验
关于我们
英凯简介
校区展示
教学环境
联系我们
东莞英凯教育(环球雅思分校)
东莞环球雅思_东莞雅思培训_新托福培训【东莞英凯教育官网】
>
雅思备考
>
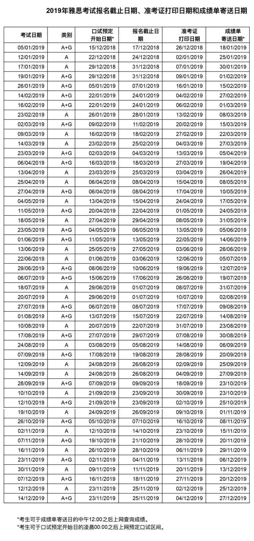
2019雅思考试时间
2019雅思考试时间
2025年11月2日
文章来自:
dgukedu
分类:
雅思备考
2019雅思考试时间
Share:
发表评论
取消回复
搜索